金鑫宇电源(深圳)有限责任公司
电话:0755-28889315
传真:0755-28889316
业务经理:18688922986
技术支援:13632860590
邮箱:huwuzai@126.com
地址:深圳市龙岗区同乐社区园新路38号
电动车充电器都是由电子元器件构成的,以下内容在没有特别说明的情况下,都是针对电动车充电器而言的。要弄懂电动车充电器就必须了解这些元器件的作用和原理。本章针对电动车充电器所用元器件进行详尽分类和系统分析。

电动车充电器所用元件主要有:电阻、电容、二极管、三极管、场效应管、集成电路等,下面将分别介绍。 一、电阻 电阻,英文名resistance,缩写为R,它是导体的一种基本性质,与导体的尺寸、材料、温度有关。通常在电子产品中所指的电阻,是指电阻器这样一种元件。电阻的主要物理特征是变电能为热能,也可说它是一个耗能元件,电流经过它就产生内能。
电阻在电路中通常起分压分流的作用,对信号来说,交流与直流信号都可以通过电阻。欧姆定律说,I=U/R,那么R=U/I,电阻的基本单位是欧姆简称为欧,用希腊字母“Ω(希腊字母,音译成拼音读作 ōu mì gǎ )”表示,有这样的定义:导体上加上一伏特电压时,产生一安培电流所对应的阻值。电阻的主要职能就是阻碍电流流过,应用于限流、分流、降压、分压、负载与电容配合作滤波器及阻匹配等.数字电路中功能有上拉电阻和下拉电阻。比较大的单位有千欧(kΩ)、兆欧(MΩ)(兆=百万,即100万)。他们的换算关系是: 1MΩ=1000KΩ 1KΩ=1000Ω
1、电阻器的种类
电阻器的种类有很多,通常分为三大类:固定电阻,可变电阻,特种电阻。在电子产品中,以固定电阻应用最多。而固定电阻以其制造材料又可分为好多类,但常用、常见的有RT型碳膜电阻、RJ型金属膜电阻、RX型线绕电阻,还有近年来开始广泛应用的片状电阻。型号命名很有规律,R代表电阻,T-碳膜,J-金属,X-线绕,是拼音的第一个字母。 
电阻器当然也有功率之分。常见的是1/4瓦的“色环金膜电阻”,它是电子产品和电子制作中用的最多的。电动车充电器器中用的到还有3瓦(W)的、2W的和1W的。当然在一些微型产品中,会用微型片状电阻,它是贴片元件家族的一员,
2、电阻器的标识
有些直接标注的电阻,是很容易识别的。可是在装配电子产品的时候,必须考虑到为以后检修的方便,把标注面朝向易于看到的地方。在手工装配时,多这一道工序,不是什么大问题,但是自动生产线上的机器没有那么聪明。而且,电阻器元件越做越小,直接标注的标记难以看清。因此,国际上惯用“色环标注法”。事实上,“色环电阻”占据着电阻器元件的主流地位。“色环电阻”顾名思义,就是在电阻器上用不同颜色的环来表示电阻的规格。有的是用4个色环表示,有的用5个。区别是:4环电阻,一般是碳膜电阻,用3个色环来表示阻值,用 1个色环表示误差。5环电阻一般是金属膜电阻,为更好地表示精度,用4个色环表示阻值,另一个色环也是表示误差。
色环电阻是应用于各种电子设备的最多的电阻类型,无论怎样安装,维修者都能方便的读出其阻值,便于检测和更换。但在实践中发现,有些色环电阻的排列顺序不甚分明,往往容易读错,在识别时,可运用如下技巧加以判断:
技巧1:先找标志误差的色环,从而排定色环顺序。最常用的表示电阻误差的颜色是:金、银、棕,尤其是金环和银环,一般绝少用做电阻色环的第一环,所以在电阻上只要有金环和银环,就可以基本认定这是色环电阻的最末一环。
技巧2:棕色环是否是误差标志的判别。棕色环既常用做误差环,又常作为有效数字环,且常常在第一环和最末一环中同时出现,使人很难识别谁是第一环。在实践中,可以按照色环之间的间隔加以判别:比如对于一个五道色环的电阻而言,第五环和第四环之间的间隔比第一环和第二环之间的间隔要宽一些,据此可判定色环的排列顺序。 
技巧3:在仅靠色环间距还无法判定色环顺序的情况下,还可以利用电阻的生产序列值来加以判别。比如有一个电阻的色环读序是:棕、黑、黑、黄、棕,其值为:100×10000=1MΩ误差为1%,属于正常的电阻系列值,若是反顺序读:棕、黄、黑、黑、棕,其值为140×1Ω=140Ω,误差为1%。显然按照后一种排序所读出的电阻值,在电阻的生产系列中是没有的,故后一种色环顺序是不对的。
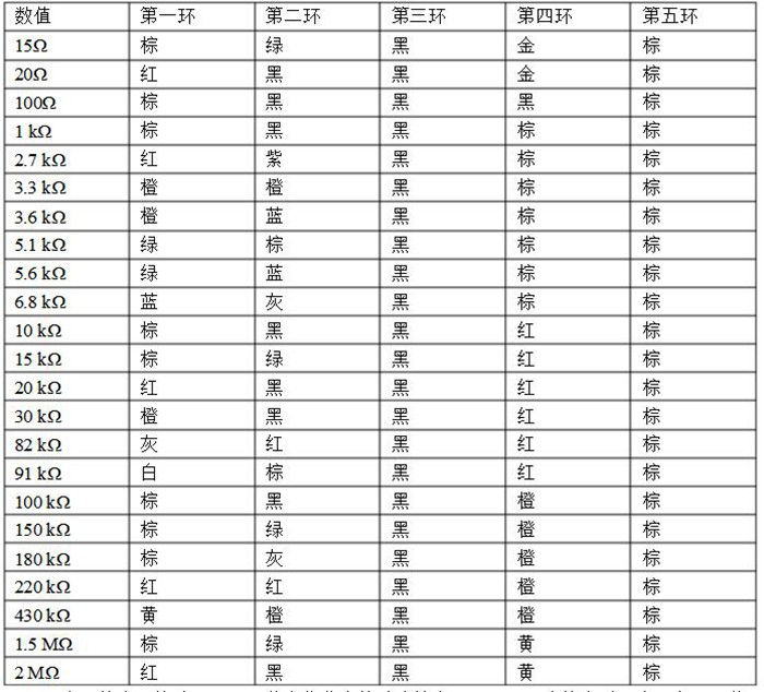
电动车充电器常用的电阻标准四环法前三环色标
电动车充电器常用的电阻标准五环法前四环色标
推荐资讯
- 2017-10-18XVE-金鑫宇电源专业生产充电器|电源适配器
- 2025-12-25【重磅预告】CES 2026,我们带着 1500W 全场
- 2024-05-13金鑫宇电源参加第32届中国国际自行车展览会
- 2018-06-07金鑫宇电源亮相2018广州国际照明展览会(光
- 2018-05-162018中国(上海)国际自行车展览会
- 2018-04-19号外:居然是它!金鑫宇滑板车充电器
- 2018-03-15金鑫宇充电器,手机充电速度快不快?
- 2018-03-12XVE免费拿样!42V1.5A扭扭车平衡车锂电池充电
- 2017-11-28金鑫宇电源新款X-1902充电器
- 2017-11-28金鑫宇电源:X-248W带PFC充电器
